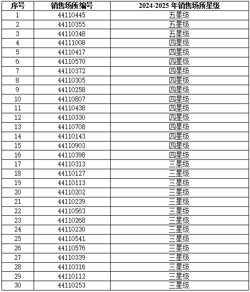
根据《中山市福利彩票销售场所标准化建设扶持方案》要求,中山市福利彩票发行中心于2026年1月7日正式启动2026年第一批福利彩票销售场所标准化建设扶持工作。整个过程严谨有序,历经接受申请、资料审核、实地勘察、验收等多个环节。在严格的审核与考察后,现已完成所有流程。经综合评估,最终确认44110445等30个销售场所获得福利彩票销售场所标准化建设扶持发放资格,具体名单如下。现予以公示,公示时间为2026年4月17日至4月23日,如对公示内容有异议的,请于2026年4月23日前以书面或电话方式向市福彩中心反映。
市福彩中心地址:东区街道沙石公路10号民政综合楼A栋,联系电话:88813982。

中山市福利彩票发行中心
2026年4月17日